Where can I download the files mentioned in "Improving I/O Performance...":?

Hi,

Where can I download the files mentioned as “[ 7 ]”

We will use two HDF5 files to compare I/O performance and to illustrate the issues users may encounter when working with compressed data. These HDF5 files and the application programs used to read them can be downloaded [ 7 ] by readers wishing to reproduce the performance results discussed in this paper.1

in a paper titled “Improving I/O Performance When Working with HDF5 Compressed Datasets”?

Thanks in advance,
Kazuyoshi

Well… I found a pdf version of the page, but the link to [7] seems to be dead, orz.

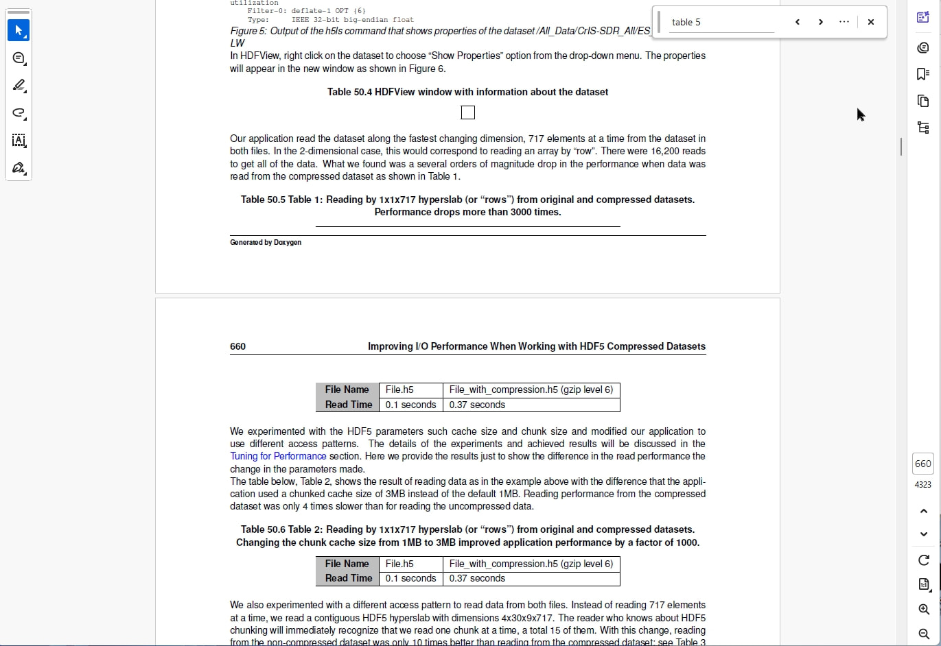
The “Read Time” for File_with_compression.h5 in “Table 1” should read 345 seconds instead of 0.37 seconds? (according to the pdf version)

Hi, Furutaka!

To help our users who can’t easily locate documents from our website,
I created a new PDF version of reference manual [1] that has almost everything - 4,323 pages.

Do you mean “Table 5” on page 909 of [1]?
If so, I uploaded the test file to MediaFire [2] because file size is 245MB.
Our forum allows only max 9.8MB upload.
Please let me know if the link doesn’t work.

BTW, the paper was written in 2015.
I hope you’ll get better & interesting performance results w/ the latest HDF5.

Regards,

[1] https://hdfeos.org/help/reference/h5_ref_man_t.pdf
[2] SCRIS_npp_d20140522_t0754579_e0802557_b13293_c20140522142425734814_noaa_pop

Dear @hyoklee ,

Thanks for the Doxygen document and the link to the file. I’ll try to make good use of it.

As for the file, it seems our institute does not allow to access to MediaFire, so I’ll try it from home.

By the way, there appears many empty squares □ in the document; images may be missing?

And,

also in the pdf (because of the same source).

diff --git a/docs/doxygen/dox/HDF5ImprovingIOPerformanceCompressedDatasets.dox b/docs/doxygen/dox/HDF5ImprovingIOPerformanceCompressedDatasets.dox
index 8d94184d29..2b263e98b5 100644
--- a/docs/doxygen/dox/HDF5ImprovingIOPerformanceCompressedDatasets.dox
+++ b/docs/doxygen/dox/HDF5ImprovingIOPerformanceCompressedDatasets.dox
@@ -205,7 +205,7 @@
  * <caption>Table 1: Reading by 1x1x717 hyperslab (or “rows”) from original and compressed datasets.
  * Performance drops more than 3000 times.</caption>
  * <tr><th>File Name</th><td>File.h5</td><td>File_with_compression.h5 (gzip level 6)</td></tr>
- * <tr><th>Read Time</th><td>0.1 seconds</td><td>0.37 seconds</td></tr>
+ * <tr><th>Read Time</th><td>0.1 seconds</td><td>345 seconds</td></tr>
  * </table>
  *
  * We experimented with the HDF5 parameters such cache size and chunk size and modified our

Yes, the empty square is for images.

If you need the images, you may try a bigger file size PDF version [3]
although some images are still missing.

Yes, I think the Doxygen version of “Table 1” has a bug.
It should be 345 seconds to match the original PDF file.
Please submit a ticket.

Thank you so much for reviewing docs carefully!

[3] https://hdfeos.org/help/reference/h5_ref_man_m.pdf